한약의 간 보호 효과 및 기전

肝臓が損傷して機能が落ちると、明確な理由もなく体が急に疲れ、食欲が落ち、消化不良、吐き気、嘔吐などが現れ、尿の色がオレンジ色や茶色に濃くなり、白目と肌が黄色くなる黄疸が生じた場合、肝臓疾患を疑ってみなければなりません。

以前の研究では、肝線維症の治療において、肉尾地黄湯の物質的基礎とメカニズムの一部が明らかになりましたが、肝疾患の治療における肉尾地黄湯の物質および分子レベルの作用機転に関する知識は依然として限られています。研究陣は、躍動学(pharmacokinetics)およびネットワーク薬理学的方法を使用して、肉尾地黄湯の活性成分が肝臓疾患に対する治療メカニズムに関与し、抗細胞死滅および抗炎症効果を発揮することを立証しました。

このように、肉味地黄湯の4つの有効成分は、酸化ストレスや炎症を抑え、肝臓の保護効果を発揮できます。このような実験結果を基に、研究陣は漢方薬処方肉尾地黄湯の成分組み合わせが細胞死滅を抑制し、抗炎症効果を発揮することでアセトアミノフェンによって誘発された急性肝損傷から肝臓を保護する効果を示すことができると結論付けました。

シュザンドリンAとBは生体外実験でアセトアミノフェン誘発急性肝損傷から活性酸素(ROS)の放出を抑制しました。肉尾地黄湯活性成分はまた、実験動物(mouse)でアセトアミノフェンによって誘発された急性肝損傷から肝臓を保護する効果を示しました。

様々な肝臓疾患によって誘発されるアミノ基転移酵素(aminotransferase)数値を減少させるために使用される伝統漢方薬処方である六味地黄湯は、中国食品医薬品局(Chinese Food and Drug Administration)によって使用が承認されました。

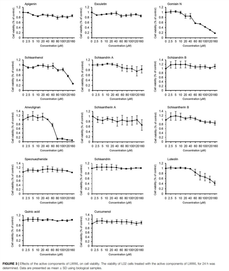
肉尾地黄湯の主要成分であるエスキュレチン(esculetin)、ルテオリン(luteolin)、シュザンドリン(schisandrin)AおよびBが生体外実験で抗炎および肝臓保護効果を発揮して重要な役割を果たすことが確認されました。

肝臓の機能が大きく悪くなると、肝臓で血液凝固因子を十分に作れず、歯茎からの出血や鼻血が出やすくなり、小さな衝撃でもあざができることがあります。今日は肝臓の損傷から肝臓を保護する漢方薬に関する研究論文をご紹介します。https://www.ncbi.nlm.nih.gov/pmc/articles/PMC8493075

エスクレチンとルテオリンは過酸化水素(H2O2)に誘導された細胞死滅を容量依存的に抑制し、ルテオリンは骨髄由来マクロファージからNF-BB信号伝達経路を抑制しました。

こんにちは。長安洞韓方医院、徽慶洞韓方医院間保護発効韓方医院発酵名家瑞草韓方医院院長です。

肝臓は食べ物だけでなく薬物も代謝させ、代謝過程で肝細胞に直接損傷を与えることがあります。つまり、治療のために飲む薬が「肝臓の損傷」を誘発する場合があります。

発酵名家 瑞草韓方医院 ソウル特別市東大門区サガジョン路25ギル50 ジョンスンビル3階 発酵名家 瑞草韓方医院その他の診療に関するお問い合わせは長安洞韓方医院、徽慶洞韓方医院間疾患治療韓方医院間保護韓方医院発酵名家瑞草韓方医院02-2212-2776肝臓疾患は、世界中の病気と死亡の主な原因です。中国では肝臓疾患、主にアルコールおよび非アルコール性脂肪肝疾患とウイルス性肝炎が約3億人の人々に影響を及ぼしており、その結果、世界中の肝臓疾患の負担に大きな影響を及ぼしています。肝臓の損傷を誘発する最も一般的な薬は抗生剤で、その次は心血管疾患製剤、抗精神病薬物、非ステロイド性抗炎症薬(NSAID)、薬草及び補助剤の順となりました。

error: Content is protected !!